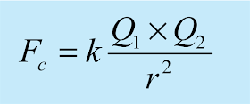
dimana :
Fc = gaya tolak-menolak atau gaya tarik-menarik dalam satuan newton (N)
Q1 = besar muatan pertama dalam satuan coulomb (C)
Q2 = besar muatan kedua dalam satuan coulomb (C)
r = jarak antara dua benda bermuatan dalam satuan meter (m)
k = konstanta pembanding besarnya 9 × 109 Nm2/C2
Apabila dua muatan yang berdekatan jenis muatannya sama, maka gaya Coulombnya berupa
gaya tolak-menolak.
Sebaliknya, dua muatan yang berdekatan jenis muatannya tak senama, maka gaya Coulombnya berupa gaya tarikmenarik.
HUKUM COULOMB
Hukum Coulomb berbunyi: besar gaya tolak-menolak atau gaya tarik-menarik antara dua benda bermuatan listrik, berbanding lurus dengan besar masing-masing muatan listrik dan berbanding terbalik dengan kuadrat jarak antara kedua benda bermuatan.
CONTOH SOAL
SOAL NO. 1
Dua muatan sejenis besarnya + 2 × 10-6 C dan + 6 × 10-4 C. Jika jarak kedua muatan 6 cm, Berapakah gaya Coulomb yang dialami kedua muatan?
Diketahui:
Q1 = 2 × 10-6 C
Q2 = 6 × 10-4 C
r = 6 cm = 6 × 10-2 m
Ditanya:
Fc = ...?
Jawab:
SOAL NO. 2
Dua buah muatan besarnya Q1 dan Q2 berada pada jarak r memiliki gaya Coulomb sebesar Fc.
Berapakah besar gaya Coulomb, jika:
a. muatan pertama diperbesar 6 kali,
b. jarak kedua muatan diperbesar 4 kali.
Jawab :
Pada kondisi awal Q1, Q2, r dan Fc berlaku
a. Pada kondisi muatan diperbesar Q1 = 6Q1, sehingga menyebabkan gaya Coulomb berubah menjadi F′ berlaku
muatan Q1 diperbesar menjadi 6Q1
b. Pada kondisi jarak diperbesar r′ = 4r, menyebabkan gaya Coulomb berubah menjadi F ′ berlaku
Jarak diperbesar r menjadi 4r



No comments:
Post a Comment